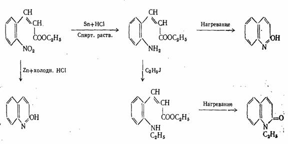
Синтезы на основе превращений этилового эфира о-нитрокоричной
кислотыМатериалы / Методы синтеза хинолинов и изохинолинов / Синтезы на основе превращений этилового эфира о-нитрокоричной
кислоты
Смотрите также
Заключение
Внутри человеческого тела скрыта определённая метафизическая субстанция, известная
лишь немногим посвящённым. Суть её в том, чтобы человек более никогда не нуждался
в лекарствах, ибо сама она есть ...
Химический элемент хром
Элемент №24. Один из самых
твердых металлов. Обладает высокой химической стойкостью. Один из важнейших
металлов, используемых в производстве легированных сталей. Большинство
соединений хром ...
Скорость химической реакции
Вокруг нас постоянно происходят тысячи химических реакций. Горит
костер и горит газ в конфорке газовой плиты, ржавеет железо, молоко
превращается в творог, на фотопленке возникают изображени ...
