5. Расчет равновесного состава химического равновесияКниги / Физическая химия / ЛЕКЦИЯ № 5. Химическое равновесие / 5. Расчет равновесного состава химического равновесия
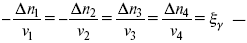
Равновесный состав можно рассчитать только для газовой системы
равновесная концентрация.
Исходная концентрация всех компонентов
Изменение каждого компонента по числу молей (или стехиометрическому коэффициенту):
ξγ – (пробег реакции) – химическая переменная.
Она показывает изменение количества вещества по числу молей. Если реакция не началась, то ξγ = 0. Если количество исходных веществ превратилось в такое же количество продуктов реакции, то ξγ = 1.
3H2 + N2 = 2NH3; ξγ= 1,
1,5H2 + 0,5N2 = NH3; ξγ= 0,5,
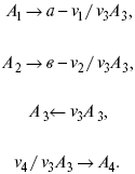
v 1А 1 + v 2А 2 = v 3А 3+ v 4А 4, – газовая реакция.
Рассчитать равновесный состав по третьему компоненту при условии, что А = а моль/л; В = в моль/л.
Рассчитываем по 4 компоненту:
Задача.
Газообразные вещества реагируют по уравнению:
Общее давление в газовой смеси – Р общ, общий объем – V об. Рассчитать KP и Kс.
Найти парциальное давление каждого компонента.
Вещества А и В превращаются в С в количестве Х. Исходные вещества А= 2 моль, В= 1 моль.
Для того, чтобы найти парциальное давление, мы должны Р об умножить на мольную долю. Мольная доля определяется отношением числа молей каждого компонента, отнесенного к общему числу молей всех компонентов.
где En – общее число молей, участвующих в этой газовой смеси.
где NA – мольная доля А.
где РА – парциальное давление.
Расчет Kc:
Δv = l – 0,5 – 2 = – 1,5,
где Δv – изменение количества молей.
Смотрите также
Изучение основных закономерностей протекания химических реакций
Химические
реакции это всем знакомое явление в области химии и физики. Ученные химики и
физики рассмотрев огромное количество различных химических реакций (реакций
соединения, распада, обме ...
Эйнштейний (Einsteinium), Es
Открыт в декабре 1952 года.
Элемент назван в честь А. Эйнштейна.
Всего известно 19 изотопов и 3 изомера. Самый стабильный из изотопов 252Es имеет полураспад = 471,7 день
Кроме как промежуточное звено ...
Очистка воды на ионитных фильтрах
Вода - это великая ценность, которую человек
получил в дар от природы. Ее надо оберегать и уметь рационально использовать.
Потребление некачественной воды может нанести непоправимый вред здо ...
