6. Цикл Карно
Цикл Карно
– круговой тепловой процесс, в результате которого некоторое количество тепла термодинамически обратимым способом переносится от горячего тела к холодному. Процесс должен совершаться таким образом, чтобы тела, между которыми происходит непосредственный обмен энергией, находились при постоянной температуре, т. е. и горячее и холодное тела считаются настолько большими тепловыми резервуарами, что температура первого при отнятии и температура второго при прибавлении рассматриваемого количества тепла ощутимо не изменяются. Для этого необходимо «рабочее тело». Рабочим телом в этом цикле является 1 моль идеального газа. Все процессы, составляющие цикл Карно, являются обратимыми. Рассмотрим их. На рисунке 9 показано:
АВ – изотермическое расширение газа от V1 до V2 при температуре T 1, количество теплоты Q1 поглощается;
ВС – адиабатическое расширение от V2 до V3 , температура снижается от Т 1 до Т2;
CD – сжатие изотермическое от V3 до V4 осуществляется при температуре Т2, количество теплоты Q отдается;
DA – сжатие адиабатическое от V4 до V 1, температура увеличивается от Т2 до T 1.
Puc. 9
Проанализируем его подробно. Для процесса необходимо «рабочее тело», которое сначала при более высокой температуре Т1 приводится в соприкосновение с горячим телом и изотермически получает от него указанное количество тепла. Затем оно адиабатически охлаждается до температуры Т2, отдавая при этой температуре тепло холодному телу с температурой Т2, а затем адиабатически возвращается в начальное состояние. В цикле Карно ΔU = 0. При проведении цикла «рабочее тело» получило количество теплоты Q1 – Q2 и произвело работу А, равную площади цикла. Итак, в соответствии с первым законом термодинамики Q1 – Q2 = А, получаем:
Для адиабатических процессов можно записать:
Поделим первое уравнение на второе. В результате имеем:
Получаем уравнение для работы:
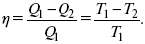
Теперь получим КПД:
Итак, КПД цикла Карно зависит от температуры теплоотдатчика и теплоприемника. Эта величина имеет тем большее значение, чем выше T 1 и ниже T 2. Цикл Карно необходим при разрешении вопроса о КПД тепловых машин.
Смотрите также
Методы обессоливания нефти и нефтяного сырья (тяжелых остатков)
Степень
подготовки нефти, поставляемой на нефтеперерабатывающие заводы, определена ГОСТ
9965-76.
В
зависимости от содержания в нефти хлоридов и воды установлены три г ...
Циклопарафины. Состав, строение, изомерия
...
Изучение возможности применения магнитных жидкостей для синтеза магнитных сорбентов
Данная
дипломная работа посвящена синтезу и изучению магнитных сорбентов,
представляющих собой магнитный (либо намагниченный) материал с высокими
адсорбционными свойствами.
Преимущество
...
