2. Термодинамические параметры. Термодинамические показатели. Баланс напряженийКниги / Физическая химия / ЛЕКЦИЯ № 2. Химическая термодинамика / 2. Термодинамические параметры. Термодинамические показатели. Баланс напряженийСтраница 4
Рис. 2
К энергетическим характеристикам относятся:
1) напряжение на электрохимическом аппарате;
2) отдача по напряжению.
3) отдача по емкости
4) отдача по энергии
5) производительность электрохимического аппарата оценивается количеством продукта на одной затраченной энергии.
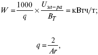
Расход электрической энергии на 1 тонну произведенного продукта определяется так:
ВT – выход по току в долях единицы.
Энергетический баланс
– устанавливает соотношение между видом энергии, поступающей в электролизер, и энергией, уходящей из него, демонстрируя равенство статей прихода и расхода. Электроэнергия const тока, подводимая к электролизеру, составляет:
WЭЛ= UJt.
Общее уравнение энергетического баланса имеет следующий вид:
Wэ + ∑Q прихода = W эл.хим.р-ии + W тока + ∑Qрасх ,
где ∑Q прихода – тепловая энергия, поступающая в электролизер с электролитом и электродами за счет вторичных процессов;
W эл.хим.р-ии – энергия тока, затраченная на электрохимическую реакцию;
W тока – энергия тока, перешедшая в тепловую энергию; ∑Qрасх – тепловая энергия, уносимая электролитом, электродами, газами при испарении Н2О, излучении и конвекции.
Смотрите также
Физики сымитируют большой взрыв в пробирке
Физики создали "вселенную в пробирке", которую можно использовать для проверки универсальных теорий природы Вселенной.
Была взята пробирка размером с мизинец, которую охладили до температу ...
Получение гидроксида натрия
...
Сурьма (Stibium), Sb
Сурьма - химический элемент V группы периодической системы Менделеева; атомный номер 51, атомная масса 121,75; металл серебристо-белого цвета с синеватым оттенком. В природе известны два стабильных из ...
