Строение веществаСтатьи / Строение веществаСтраница 1
Основы квантовой механики и строение атома
I. Элементарные сведения о корпускулах и волнах и предпосылки квантовой теории. Движения корпускул и сплошных сред. Корпускулярные и волновые свойства света. Волновые и корпускулярные свойства материи. Волны материи (волны де Бройля). Простейшие виды движения частиц. Линейное движение на ограниченном интервале и модель потенциального ящика. Квантование энергии и энергетическая диаграмма. Понятие о спектральных переходах в квантовых системах. Длина волны, волновое число, частота и энергия спектрального перехода.
Основные формулы: h/p; l=h/mc (для электромагнитной волны);
замена с=v Þ l=h/mv (волна материи - волна де Бройля);
1) Частица в одномерном ящике
(аналогия со стоячей волной, образуемой натянутой струной)
L=nl/2, " nÎN {1, 2, 3, . ¥}; U(x) =0, E=T=p2/2m, " xÎ [0, L]
Уровни энергии частицы в одномерном “потенциальном ящике”:
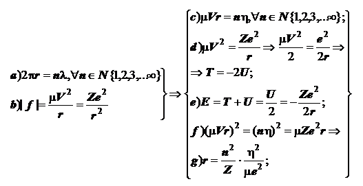
II. Движение на круговой орбите (Для самостоятельного ознакомления). Стоячие волны де Бройля на орбите и квантование величины L=vr. Квантование классического "радиуса орбиты". Боровский радиус a0=? 2/e2. Теорема вириала и вывод формулы квантования орбитальной энергии атома H и водородоподобного иона (формула Бора). Система атомных единиц.
2) Движение электрона на круговой орбите.
![]() |
Уровни водородоподобного атома (иона) и радиусы орбит:
Отсюда следует формула Бора:
Атомная система единиц:
1) единица массы-масса электрона [M] =1 а. е. M =e;
2) единица заряда – элементарный заряд - заряд электрона [Q] =1 а. е. Q =e;
3) единица длины – боровский радиус [L] =1 а. е. L =a0;
4) В атомной системе модуль циклической константы Планка равен единице:
В атомной системе единиц формулы для уровней энергии и “радиусов” движения в водородоподобных атомах (одноэлектронных ионах) выглядят особенно просто:
III. Уравнение плоской бегущей волны де Бройля и способ построения операторов импульса и энергии. Операторные уравнения.
3) Плоская световая волна (элекромагнитное поле):
или y= A. exp [± i (wt - wx/c)]
4) Подстановки E = ћw = mc2 Þ w = mc2/ћ = pc/ћ Þ w = E/ћ приводят к формуле для плоской волны материи
5) Плоская волна материи. Операторы динамических переменных
Получены важные формулы для операторов энергии и импульса
IV. Физические, математические основы, и постулаты квантовой механики. Понятие о конфигурационном пространстве (КФ) системы частиц. При описании механических движений в системе частиц {1, 2, 3, . n} используются различные пространственные переменные. Их совокупность называется конфигурационным пространством. Координаты могут быть декартовы {x1, y1, z1, x2, y2, z2, x3, y3, z3, . xn, yn, zn}, или полярные, например, шаровые {r1, J1, j1, r2, J2, j2, r3, J3, j3, . rn, Jn, jn}, или иные: {q1, q2, q3, . q‑2, q-1, qn}.
Максимальная размерность КФ 3n. В общем случае КФ является математической абстракцией. Лишь в случае одной частицы имеет геометрический смысл. Содержание постулатов квантовой механики:
Постулат 1. Волновая функция и ее свойства (конечность, однозначность, непрерывность и нормировка): y(q1, q2, . qn, t). Û òòò . òòy(q1, q2, . qn) y*(q1, q2, . qn) dv(q1, q2, . qn) =1.
Область интегрирования охватывает полный возможный диапазон значений каждой переменной. Вероятностный смысл волновой функции:
Смотрите также
Химический анализ катионов
Основой любого химического
исследования является совокупность различных химических наук, каждая из которых
нуждается в результатах химического анализа, поскольку химический состав –
основа ...
Магний (Magnesium), Mg
В 1695 г. один из химиков, стремясь получить "философский камень", выпаривал воду, вытекавшую из недр земли близ города Эпсом (Англия). Он получил соль, обладающую.... горьким вкусом и слаби ...
Заключение
В ходе работы
удалось проследить взаимосвязь между школьными предметами: химией, географией,
физикой, биологией, математикой. Ознакомилась с методами и путями реализации
МПС и опробовала на педагог ...

