Химический синтез β–каротинаСтатьи / Производство бета-каротина / Химический синтез β–каротинаСтраница 2
В реактор 1 из сборника 2 загружают псевдоионон и из сборника 3 толуол и перемешиванием получают толуольный раствор псевдоионона (плотность 890—900 кг/м3), подаваемый насосом 4 в мерник 5. В реактор из эмалированной стали 6 сливают концентрированную серную кислоту из мерника 7, которую в реакторе 6 охлаждают до 0°, а затем медленно загружают из мерника 8 ледяную уксусную так, чтобы температура не поднималась выше 15° С. Смесь кислот насосом 8 подают в мерник 9. В аппарат для циклизации 10 из нержавеющей стали, снабженный мешалкой и рубашкой, подают из мерника 9 смесь кислот, а из мерника 5 толуольный раствор псевдоионона. Реакция протекает при температуре минус 7—10° С в течение 1 ч. Для нейтрализации реакционной массы применяют 18—20%-ный раствор углекислого натрия. В реактор // загружают углекислый натрий, из мерника 12 воду и при перемешивании насыщенный раствор насосом 13 подают в мерник 14. Из аппарата циклизации 10 нейтрализованная реакционная масса поступает в делительную воронку 15, где промывается раствором карбоната натрия и далее поступает в сборник 16 и в перегонный аппарат 17. В нем отгоняют толуол в сборники 18 и 19 при остаточном давлении 20 мм рт. ст. Остаток перегоняют при остаточном давлении 1 мм рт. ст. в перегонном аппарате 20 и собирают в приемнике. Выход 75%.
β-Ионон — желтоватая маслянистая жидкость, температура кипения 118—120°С при остаточном давлении 5 мм рт. ст. и 132° С при остаточном давлении 12 мм рт. ст., С13Н2оО, молекулярная масса 192,29; по =1,5210; хорошо растворим в органических растворителях, плохо в воде; Xmах= 296 нм, E=557.
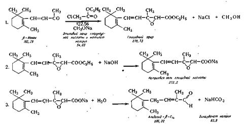
Синтез альдегида с14 [4(2',6',6'-триметилциклогексен-г-ил)-2-метилбутен-з-аль-1]
Синтез альдегида С14 осуществляют по реакции Дарзана путем конденсации (3-ионона с метиловым или этиловым эфиром монохлоруксусной кислоты в присутствии метилата натрия. Реакции протекают по следующей схеме:
Реакция конденсации. В реактор 21, снабженный охлаждающей рубашкой и мешалкой, загружают (3-ионон из сборника 22 и в течение 2—3 ч при ливают из мерника 23 этиловый эфир хлоруксусной кислоты, а из сборника 24 сухой метилат натрия. Температуру при этом поддерживают минус 5—7° С. В результате реакции конденсации получается глицидный эфир, который из раствора не выделяют.
Омыление. Глицидный эфир омыляют раствором едкого натра в водном метаноле, который добавляют из смесителя 25 в тот же реактор в течение 1,5—2 ч при температуре 18—20°С. В результате омыления получают натриевую соль глицидного эфира.
Декарбоксилирование. В реактор 21 добавляют воду и дихлорэтан, перемешивают, а затем направляют реакционную массу в делительную воронку 26. Нижний дихлорэтановый слой отделяют в воронке и в смесителе 27 промывают водным раствором поваренной соли, приготовленном в смесителе 28. Нижний слой спускают в смеситель 29, затем добавляют в этот смеситель сульфат натрия и перемешивают. Сухой экстракт переводят в вакуум-перегонный аппарат 30, отгоняют дихлорэтан, а затем под глубоким вакуумом (0,1 мм рт. ст. при температуре около 100° С) отгоняют альдегид С14. При необходимости альдегид подвергают ректификации при остаточном давлении 0,3—0,5 мм рт. ст.
Альдегид С14 — светло-желтая маслянистая жидкость с температурой кипения 103—106° С при остаточном давлении 0,2 мм рт. ст., хорошо растворим в органических растворителях, плохо—в воде. При хранении неустойчив. Формула С14Н220, молекулярная масса 206,14.
Смотрите также
Синтез химико-технологической схемы
Задание
Требуется
синтезировать ХТС, работающую по следующей технологии:
Смесь,
состоящую из компонентов А и B и инертного компонента нагревается в системе
теплообмена до t1, пост ...
Исследование свойств чая
Чай —
один из самых древних напитков, известных человечеству. Сегодня чай стал
неотъемлемой частью многих культур, однако достоверно известно, что история чая
берёт своё начало в Древнем Ки ...
Молибден (Molybdaenum), Mo
Открыт в 1778 году шведским химиком Карлом Шееле, который прокаливая молибденовую кислоту, получил оксид МоО3. В металлическом состоянии впервые получен П. Гьельмом в 1782 г. восстановлением оксида уг ...
