Карбоангидраза, карбоксипептидаза, алкогольдегидрогеназа.Материалы / Элементы d-блока периодической системы / Карбоангидраза, карбоксипептидаза, алкогольдегидрогеназа.
Карбоангидраза – Zn содержащий фермент. Фермент крови, содержится в эритроцитах. Карбоангидраза катализирует процесс обратимой гидратации CO2, также катализирует реакции гидролиза, в которых участвует карбоксильная группа субстрата.
Н2О + СО2 ↔ Н2СО3 ↔ Н+ + НСО3¯ (механизм "цинк-вода")
ОН¯ + СО2 ↔ НСО3¯ (механизм "цинк-гидроксид")
Координационное число цинка 4. Три координационные места заняты аминокислотами, четвертая орбиталь связывает воду или гидроксильную группу.
Механизм действия:
Обратимая гидратация CO2 в активном центре карбоангидразы
Карбоксипептидаза Zn содержащий фермент. Объектами концентрации являются печень, кишечник, поджелудочная железа.
Участвует в реакциях гидролиза пептидных связей.
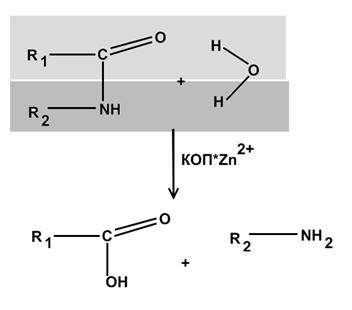
Схема взаимодействия цинка карбоксипептидазы с субстратом ("цинк-карбонил"):
Схема реакции гидролиза пептидных связей карбоксипетидазы:
Алкогольдегидрогеназа это -содержащий фермент.
Смотрите также
Постулаты квантовой механики
Каждый из постулатов квантовой
механики, конечно, можно сформулировать в виде лаконичного математического
утверждения, но, как всякое исходное допущение, любой из них построен на целой
сово ...
Электрохимические методы анализа и их современное аппаратурное оформление: обзор WEB–сайтов фирм–продавцов химико-аналитического оборудования
Электрохимические методы анализа
(электроанализ), в основе которых лежат электрохимические процессы, занимают
достойное место среди методов контроля состояния окружающей среды, так как
спос ...
Химия и технология производства 2–нафтола щелочным плавлением
Щелочное
плавление - процесс взаимодействия металлических солей сульфокислот со
щелочами, приводящих к замещению сульфогруппы гидроксильной группой. Данный метод
является одним из основных ...
