ЛЕКЦИЯ № 15. Третий закон термодинамикиКниги / Физическая химия / ЛЕКЦИЯ № 14. Применение теоретической и прикладной электрохимии / ЛЕКЦИЯ № 15. Третий закон термодинамикиСтраница 1
Понятие химического сродства.
Известно, что многие вещества реагируют друг с другом легко и быстро, другие вещества реагируют с трудом, а третьи – не реагируют. Исходя из этого, вывели предположение, что между веществами существует какое-то химическое сродство.
1-е предположение – мерой химического сродства была скорость реакции.
2-е предположение – М. Бертло
и Х. Томсон
высказали, что мерой химического сродства является тепловой эффект
.
3-е предположение – max А (Вант-Гофф). Если max А > 0, то химическое сродство между веществами существует, и реакция протекает слева направо. Если А max< 0 →, то химического сродства между веществами нет, и реакция протекает справа налево. Если А max= 0, то реакция протекает и туда, и обратно. На основе этого создавался третий закон термодинамики; М. Бертло
и Х. Томсон
, изучая поведение термодинамических систем при низких температурах, в 1906 г. обнаружили, что при низких температурах между веществами существует так называемое химическое сродство, которое они определили как тепловой эффект, ими было установ-лено, что тепловой эффект Qv – А max в конденсированных системах при низких температурах, где А max– максимальная работа.
но на самом деле это не max, если исходить из уравнения Гельмгольца.
Для того, чтобы работа была max, она должна равняться тепловому эффекту A max = Qv, надо вычислить:
ΔF = Qv.
Аналитические выражения третьего закона термодинамики:
это изохорно-изотермические условия.
Если Аmax = QP , ΔG , Qp , ΔH – функции
это изобарно-изотермические условия.
Тепловая теорема Нернста
(третий закон термодинамики)(рис. 16)
Рис. 16
Энергии (ΔU, ΔH, QV, QP, ΔF, ΔG), tgα угла наклона прямой – дает температурный коэффициент любой функции.
Для реакций, протекающих в конденсированных системах
при приближении температуры к абсолютному нулю, кривые max работы и теплового эффекта соединяются и имеют одну большую касательную, параллельную оси температур.
Следствия из третьего закона термодинамики:
1. Свойства энтропии вблизи абсолютного нуля – постулат Планка:
ΔF = ΔU – T ΔS.
абсолютная энтропия.
2. Теплоемкость Сp, Сv
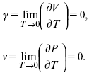
3. Коэффициент термического расширения тела и термического давления.
Смотрите также
Палладий (Palladium), Pd
Открыт английским химиком Вильямом Волластоном (William Hyde Wollaston) в 1803 году. Волластон выделил его из платиновой руды привезённой из Южной Америки.
Для выделения элемента Волластон растворил ...
Получение феррита бария из отходов производства машиностроительных предприятий
Бария
гексаферрит, бария карбонат, отход термического производства, утилизация, бария
хлорид, гальваношлам.
В курсовой работе предложены методы получения феррита бария, который ...
Металлы и сплавы, применяемые в полиграфии
Металлы хорошо проводят тепло и электрический ток, т. е. они
теплопроводны и электропроводны. Самую высокую электропроводность имеют серебро
Ag, медь Си, алюминий Al, золото Au и железо Fe. ...
