3. Закон Кирхгоффа. Интегральная форма уравнений КирхгоффаКниги / Физическая химия / ЛЕКЦИЯ № 9. Термохимия / 3. Закон Кирхгоффа. Интегральная форма уравнений Кирхгоффа
3акон Кирхгоффа
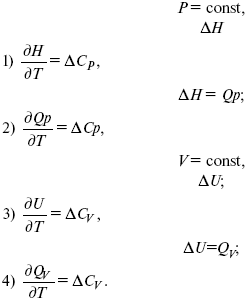
Это уравнения Кирхгоффа в дифференциальной форме.
Когда идет изменение функции по t – температурный коэффициент:
Закон Кирхгоффа:
температурный коэффициент теплового эффекта равен изменению теплоемкости данного процесса.
Интегральная форма уравнений Кирхгоффа:
интегральная форма уравнений Кирхгоффа, Т 1= 298 К.
1) ΔСР ≠ f(T)
усредненное ΔН при Т 1– по закону Гесса;
2) ΔСР = f(T)
Пример 3.
Рассчитать тепловой эффект химической реакции при Т= 1000 К (реакция сгорания С2Н5ОН).
С2Н5ОН + 302 = 2С02 + ЗН20 (самостоятельно).
Все реакции – как реакции образования:
Т = 1000 к.
Смотрите также
Углеводы
Углеводы на ряду с белками и липидами
являются важнейшими химическими соединениями живых организмов. В организме
углеводы выполняют важнейшие функции: энергетическую, структурную, защитн ...
Введение
Свою дипломную работу хочу
начать со слов ученого-земляка М.В. Ломоносова, которые являются эпиграфом
данной работы:
“Вольность и союз наук необходимо
требуют взаимного сообщения и беззавистного ...
Производные изоксанолы: получение, свойства и применение
...
